Multiple Cause Vector Quantization


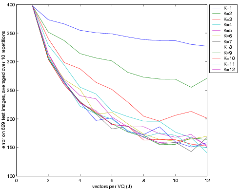
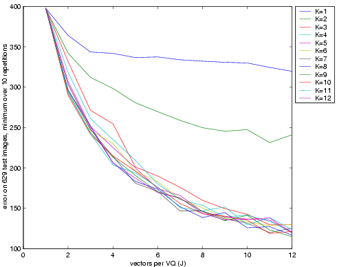
Performance Experiments: Results for Shapes

Taking the mean value, for each (J,K), over the 10 repetitions:

plot of reconstruction error plot of reconstruction error surface plot of reconstruction error



Taking the minimum value, for each (J,K), over the 10 repetitions:

plot of reconstruction error plot of reconstruction error surface plot of reconstruction error