Multiple Cause Vector Quantization


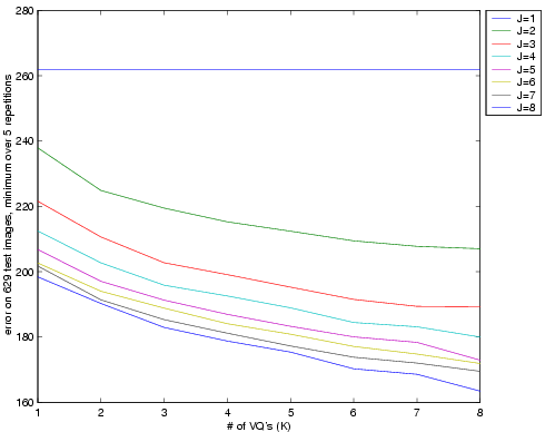
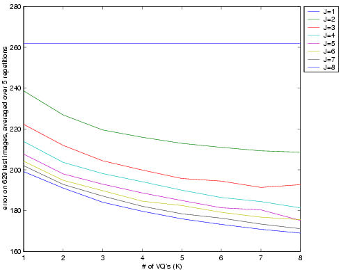
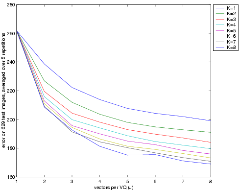
Performance Experiments: Results for Faces

Taking the mean value, for each (J,K), over the 5 repetitions:

plot of reconstruction error plot of reconstruction error surface plot of reconstruction error



Taking the minimum value, for each (J,K), over the 5 repetitions:

plot of reconstruction error plot of reconstruction error surface plot of reconstruction error